閱讀前中通防爆攝像頭邀您,先思考:
-
涉及重大危險源的危險化學品企業安全風險分級管控和隱患排查治理機制應該如何做? -
三年安全生產專項整治行動如何安排的,哪些企業面臨停產整改? -
未取得特種作業許可證上崗,企業會被吊銷安全許可證嗎? -
如何判定評估化工園區的風險等級,高安全風險(A類)和較高安全風險(B類)會面臨怎樣的處罰? -
企業如何完成安全風險隱患自查工作,都應該自查哪些內容?
-
“兩重點一重大”生產裝置儲存設施可燃氣體和有毒氣體泄漏檢測報警裝置、緊急切斷裝置、自動化控制系統如何設置?使用率和投用率需要達到多少?

《中共中央辦公廳國務院辦公廳關于全面加強危險化學品安全生產工作的意見》
二、強化安全風險管控
(一)深入開展安全風險排查。按照《化工園區安全風險排查治理導則(試行)》和《危險化學品企業安全風險隱患排查治理導則》等相關制度規范,全面開展安全風險排查和隱患治理。嚴格落實地方黨委和政府領導責任,結合實際細化排查標準,對危險化學品企業、化工園區或化工集中區(以下簡稱化工園區),組織實施精準化安全風險排查評估,分類建立完善安全風險數據庫和信息管理系統,區分“紅、橙、黃、藍”四級安全風險,突出一、二級重大危險源和有毒有害、易燃易爆化工企業,按照“一企一策”、“一園一策”原則,實施嚴格的治理整頓。制定實施方案,深入組織開展危險化學品安全三年提升行動。
三、強化全鏈條安全管理
(五)加強重點環節安全管控。對現有化工園區全面開展評估和達標認定。對新開發化工工藝進行安全性審查。2020年年底前實現涉及“兩重點一重大”的化工裝置或儲運設施自動化控制系統裝備率、重大危險源在線監測監控率均達到100%。
摘選:《全國安全生產專項整治三年行動計劃》
三、進度安排
從2020年3月至2022年12月,分四個階段進行。
(一)動員部署(2020年3月)。提請國務院安委會全體會議研究審議全國安全生產專項整治三年行動計劃和11個專項整治方案,并報黨中央、國務院批準印發;召開全國安全生產電視電話會議,部署啟動全面開展專項整治三年行動。各地區、各有關部門和中央企業制定實施方案,對開展專項整治三年行動作出具體安排。
(二)排查整治(2020年5月至2020年12月)。各地區、各有關部門對本轄區、本行業領域安全風險隱患全面排查,建立問題隱患和制度措施“兩個清單”,制定時間表路線圖,明確整改責任單位和整改要求,堅持邊查邊改、立查立改,加快推進實施,整治工作取得初步成效。
(三)集中攻堅(2021年)。動態更新“兩個清單”,針對重點難點問題,加大專項整治攻堅力度,落實和完善治理措施,推動建立健全公共安全隱患排查和安全預防控制體系,整治工作取得明顯成效。
(四)鞏固提升(2022年)。結合各地經驗做法特別是總結江蘇省安全生產專項整治經驗,形成一批制度成果,在全國推廣。總結全國安全生產專項整治三年行動,著力將黨的十八大以來安全生產重要理論和實踐創新轉化為法規制度,健全長效機制,形成一套較為成熟定型的安全生產制度體系。
各地區、各有關部門分年度總結專項整治三年行動計劃開展情況,并報送國務院安委辦;2022年12月,國務院安委辦對專項整治三年行動進行全面總結評估,提請國務院安委會審議后,上報黨中央、國務院。
摘選:《落實企業安全生產主體責任三年行動專題實施方案》
二、重點任務
(二)健全完善企業安全生產管理制度。
4.持續推進企業安全生產標準化建設。各類企業要按照《企業安全生產標準化基本規范》(GB/T33000-2016)和行業專業標準化評定標準的要求自主建設,從目標職責、制度化管理、教育培訓、現場管理、安全風險管控、隱患排查治理、應急管理、事故管理和持續改進等八個方面,建立與企業日常安全管理相適應、以安全生產標準化為重點的企業自主安全生產管理體系,實現安全生產現場管理、操作行為、設備設施和作業環境規范化。企業要在安全生產標準化建設、運行過程中,根據人員、設備、環境和管理等因素變化,持續改進風險管控和隱患排查治理工作,有效提升企業安全管理水平。2022年底前,高危行業及規模以上企業均應完成自評工作。
《GB/T33000-2016企業安全生產標準化基本規范》
5.2.4.2 評估
企業應每年至少評估一次安全生產和職業衛生法律法規、標準規范、規章制度、操作規程的適宜性、有效性和執行情況。
摘選:《全國安全生產專項整治三年行動計劃》《危險化學品安全專項整治三年行動實施方案》
為加強危險化學品安全專項整治,根據《全國安全生產專項整治三年行動計劃》,制定本實施方案。
一、整治目標
到2022年底前,涉及“兩重點一重大”生產裝置和儲存設施的自動化系統裝備投用率達到100%、涉及重大危險源企業安全預防控制體系建設率達到100%、化工企業主要負責人和安全管理人員等考核達標率100%,具有化工安全生產相關專業學歷和實踐經驗的執法人員數量達到在職人員的75%以上
二、主要任務
(一)提升危險化學品重大安全風險管控能力。
1.嚴格高風險化工項目準入條件。制定完善化工產業發展規劃,2020年底前制定出臺新建化工項目準入條件;2022年底前,設區的市要制定完善危險化學品“禁限控”目錄,對涉及光氣、氯氣、氨氣等有毒氣體(以下簡稱有毒氣體),硝酸銨、硝基胍、氯酸銨等爆炸危險性化學品(指《危險化學品目錄》中危險性類別為爆炸物的危險化學品)的建設項目要嚴格控制,嚴禁已淘汰的落后產能異地落戶和進園入區;
2.提升化工園區安全風險管控水平。各省級人民政府要建立跨部門聯合工作機制,按照《化工園區安全風險排查治理導則(試行)》要求組織開展化工園區(含化工集中區)安全風險排查評估分級工作。2020年10月底前,各省級人民政府要在對本地區化工園區安全風險排查評估分級的基礎上,認定并公布化工園區名單。對安全風險等級評估為A級(高安全風險)的化工園區,原則上不得批準新、改、擴建危險化學品建設項目,并納入重點治理和監管范圍,限期整改提升,2021年底前仍為A級的化工園區要予以關閉退出;對安全風險等級評估為B級(較高安全風險)的化工園區,原則上要限制新、改、擴建危險化學品建設項目,2022年底前仍未達到C級或D級的化工園區要予以關閉退出。
《化工園區安全風險排查治理導則(試行)》
8 特殊條款
8.1 按照本導則《化工園區安全風險排查治理檢查表》(見附件)對化工園區進行評分,60分以下(不含60分)為高安全風險(A類),60-70分(不含70分)為較高安全風險(B類),70-85分(不含85分)為一般安全風險(C類),85分及以上為較低安全風險(D類)
8.2 化工園區存在以下情況,直接判定為高安全風險(A類):
(1)化工園區規劃不符合當地總體規劃要求或未明確四至范圍(四至范圍是指東西南北四個方向的邊界)。
(2)化工園區未經依法認定。
(3)化工園區未明確安全管理機構。
(4)化工園區外部安全防護距離不符合標準要求。
(5)化工園區內部布局不合理,企業之間存在重大風險疊加或失控。
(6)化工園區內存在在役化工裝置未經具有相應資質的單位設計且未通過安全設計診斷的企業。
(7)化工園區內存在涉及危險化工工藝的特種作業人員未取得高中或者相當于高中及以上學歷的企業。
附件,化工園區安全風險排查治理檢查表
(16)化工園區內危險化學品建設項目應由具有相關工程設計資質的單位設計;涉及“兩重點一重大”裝置的專業管理人員必須具有大專以上學歷、操作人員必須具有高中或者相當于高中及以上文化程度,企業特種作業人員應持證上崗。
0分-化工園區內危險化學品建設項目未由具有相關工程設計資質的單位設計或涉及“兩重點一重大”裝置的專業管理人員不具有大專以上學歷或操作人員不具有高中或者相當于高中及以上文化程度或特種作業人員未持證上崗;
5分-符合要求。
(20)化工園區應能保障雙電源供電。供電應滿足化工園區各企業和化工園區配套設施生產、生活和應急用電需求,電源可靠。
0分-供電不滿足保障雙電源供電;
5分-符合條件。
(27)化工園區管委會應配備具有化工專業背景的負責人,并建立化工園區管委會領導帶班制度;根據企業數量、產業特點、整體安全風險狀況,配備滿足安全監管需要的人員,其中具有相關化工專業學歷或化工安全生產實踐經歷的人員或注冊安全工程師的人員數量不低于安全監管人員的75%。
0分-未配備具有相關化工專業學歷或化工安全生產實踐經歷的人員或注冊安全工程師等專業監管人員;或化工園區管委會未配備具有化工專業背景的負責人;
1分-配備了具有相關化工專業學歷或化工安全生產實踐經歷的人員或注冊安全工程師等專業監管人員但比例低于75%;或未建立化工園區管委會領導帶班制度;
5分-符合要求。
(28)化工園區應按照國家有關要求,制定安全風險分級管控制度,對化工園區內企業進行安全風險分級,加強對紅色、橙色安全風險的分析、評估、預警。
0分-未按照國家有關要求,對化工園區內企業進行安全風險分級,并制定安全風險分級管控制度,對紅色、橙色安全風險的分析、評估、預警;
5分-符合要求。
(29)化工園區應建設安全監管和應急救援信息平臺,構建基礎信息庫和風險隱患數據庫,至少應接入企業重大危險源(儲罐區和庫區)實時在線監測監控相關數據、關鍵崗位視頻監控、安全儀表等異常報警數據,實現對化工園區內重點場所、重點設施在線實時監測、動態評估和及時自動預警;要建立園區三維傾斜攝影模型,在平臺中實時更新園區建設邊界、園區內企業邊界及分布等基礎信息;化工園區應將接入數據上傳至省、市級應急管理部門。
0分-未建設平臺;
1分-建設了平臺,但只有基礎信息數據庫,未接入其他相關數據;
3分-建設了平臺且能實現預警功能;
5分-符合要求。
評分說明:
1.評分時,對各項排查內容按照各自對應的評分標準逐一進行評分。
2.評分按照0-1-3-5評分制,其中:0分表示不符合標準要求,1分表示與標準要求偏差較大,3分表示與標準要求存在部分偏差,5分表示符合標準要求;對具有二元選擇性的排查內容,只設5分或0分。
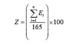
3.采用百分制進行評分,實際分值按如下公式計算:

式中:Z—化工園區實際分值;Ei—單項排查內容分值。
摘選:《危險化學品安全專項整治三年行動實施方案》
二、主要任務
(一)提升危險化學品重大安全風險管控能力。
3.深入開展企業安全風險隱患排查治理。督促轄區內危險化學品企業按照《危險化學品企業安全風險隱患排查治理導則》,在2020年6月底前全面完成安全風險隱患自查工作并制定整改方案,對于重大隱患要依法上報地方有關監管部門并實施掛牌督辦,經整改仍達不到安全生產條件的,依法予以關閉,實現規范達標一批、改造提升一批、依法淘汰一批。組織開展危險化學品安全生產許可“回頭看”,2020年底前要對安全風險評估等級為“紅、橙”的企業對照安全生產許可證發證條件逐一再次進行核查,從源頭提升發證企業的安全保障能力。大力推進危險化學品企業安全風險分級管控和隱患排查治理體系建設,2022年底前涉及重大危險源的危險化學品企業要基本完成安全風險分級管控和隱患排查治理雙重預防機制建設。
《危險化學品企業安全風險隱患排查治理導則》
2.3 企業應充分利用安全檢查表(SCL)、工作危害分析(JHA)、故障類型和影響分析(FMEA)、危險和可操作性分析(HAZOP)等安全風險分析方法,或多種方法的組合,分析生產過程中存在的安全風險;選用風險評估矩陣(RAM)、作業條件危險性分析(LEC)等方法進行風險評估,有效實施安全風險分級管控。
2.4 企業應對涉及“兩重點一重大”的生產、儲存裝置定期開展HAZOP 分析。
2.5 精細化工企業應按要求開展反應安全風險評估。
3 安全風險隱患排查方式及頻次
3.1 安全風險隱患排查方式
3.1.2 安全風險隱患排查形式包括日常排查、綜合性排查、專業性排查、季節性排查、重點時段及節假日前排查、事故類比排查、復產復工前排查和外聘專家診斷式排查等。
3.2 安全風險隱患排查頻次
3.2.1 開展安全風險隱患排查的頻次應滿足:
(1)裝置操作人員現場巡檢間隔不得大于2小時,涉及“兩重點一重大”的生產、儲存裝置和部位的操作人員現場巡檢間隔不得大于1小時;
(2)基層車間(裝置)直接管理人員(工藝、設備技術人員)、電氣、儀表人員每天至少兩次對裝置現場進行相關專業檢查;
3.2.3 企業對涉及“兩重點一重大”的生產、儲存裝置運用HAZOP 方法進行安全風險辨識分析,一般每3年開展一次;對涉及“兩重點一重大”和首次工業化設計的建設項目,應在基礎設計階段開展HAZOP 分析工作;對其他生產、儲存裝置的安全風險辨識分析,針對裝置不同的復雜程度,可采用本導則第2.3所述的方法,每5年進行一次。
4 安全風險隱患排查內容
企業應結合自身安全風險及管控水平,按照化工過程安全管理的要求,參照各專業安全風險隱患排查表(見附件),編制符合自身實際的安全風險隱患排查表,開展安全風險隱患排查工作。
4.5 安全風險管理
4.5.3 安全風險分級管控情況,主要包括:
(1)企業可接受安全風險標準的制定;
(2)對辨識出的安全風險進行分級和制定管控措施的落實;
(3)對辨識分析發現的不可接受安全風險,制定管控方案,制定并落實消除、減小或控制安全風險的措施,明確風險防控責任崗位和人員,將風險控制在可接受范圍。
4.6 設計管理
4.6.2 開展正規設計或安全設計診斷情況;涉及“兩重點一重大”的建設項目設計單位資質符合性情況。
4.6.5 涉及“兩重點一重大”裝置自動化控制系統的配置情況。
4.6.7 涉及精細化工的建設項目,在編制可行性研究報告或項目建議書前,按規定開展反應安全風險評估情況;國內首次采用的化工工藝,省級有關部門組織專家組進行安全論證情況。
4.8.2 裝置運行監測預警及處置情況,主要包括:
(1)自動化控制系統設置及對重要工藝參數進行實時監控預警;
(2)可燃及有毒氣體檢測報警設施設置并投用;
(3)采用在線安全監控、自動檢測或人工分析等手段,有效判斷發生異常工況的根源,及時安全處置。
4.8.3 開停車安全管理情況,主要包括:
(1)開停車前安全條件的檢查確認;
(2)開停車前開展安全風險辨識分析、開停車方案的制定、安全措施的編制及落實;
(3)開車過程中重要步驟的簽字確認,包括裝置沖洗、吹掃、氣密試驗時安全措施的制定,引進蒸汽、氮氣、易燃易爆、腐蝕性等危險介質前的流程確認,引進物料時對流量、溫度、壓力、液位等參數變化情況的監測與流程再確認,進退料順序和速率的管理,可能出現泄漏等異常現象部位的監控;
(4)停車過程中,設備和管線低點處的安全排放操作及吹掃處理后與其他系統切斷、確認工作的執行。
4.8.6 重大危險源安全控制設施設置及投用情況,主要包括:
(1)重大危險源應配備溫度、壓力、液位、流量等信息的不間斷采集和監測系統以及可燃氣體和有毒有害氣體泄漏檢測報警裝置,并具備信息遠傳、記錄、安全預警、信息存儲等功能;
(2)重大危險源的化工生產裝置應裝備滿足安全生產要求的自動化控制系統;
(3)一級或者二級重大危險源,設置緊急停車系統;
(4)對重大危險源中的毒性氣體、劇毒液體和易燃氣體等重點設施,設置緊急切斷裝置;
(5)對涉及毒性氣體、液化氣體、劇毒液體的一級或者二級重大危險源,應具有獨立安全儀表系統;
(6)對毒性氣體的設施,設置泄漏物緊急處置裝置;
(7)重大危險源中儲存劇毒物質的場所或者設施,設置視頻監控系統;
(8)處置監測監控報警數據時,監控系統能夠自動將超限報警和處置過程信息進行記錄并實現留痕。
4.9 設備設施完好性
4.9.2 設備設施管理制度的執行情況,主要包括:
(3)儀表自動化控制系統安全管理制度的執行,新(改、擴)建裝置和大修裝置的儀表自動化控制系統投用前及長期停用后的再次啟用前的檢查確認、日常維護保養,安全聯鎖保護系統停運、變更的專業會簽和審批。
4.9.3 設備日常管理情況,主要包括:
(2)大機組和重點動設備運行參數的自動監測及運行狀況的評估;
4.9.4 設備預防性維修工作開展情況,主要包括:
(1)關鍵設備的在線監測;
(2)關鍵設備、連續監(檢)測檢查儀表的定期監(檢)測檢查;
4.9.5 安全儀表系統安全完整性等級評估工作開展情況,主要包括:
(1)安全儀表功能(SIF)及其相應的功能安全要求或安全完整性等級(SIL)評估;
(2)安全儀表系統的設計、安裝、使用、管理和維護;
(3)檢測報警儀器的定期標定。
6 特殊條款
6.1 依據《化工和危險化學品生產經營單位重大生產安全事故隱患判定標準(試行)》,企業存在重大隱患的,必須立即排除,排除前或排除過程中無法保證安全的,屬地應急管理部門應依法責令暫時停產停業或者停止使用相關設施、設備。
6.2 企業存在以下情況的,屬地應急管理部門應依法暫扣或吊銷安全生產許可證:
(1)主要負責人、分管安全負責人和安全生產管理人員未依法取得安全合格證書。
(2)涉及危險化工工藝的特種作業人員未取得特種作業操作證、未取得高中或者相當于高中及以上學歷。
(3)在役化工裝置未經具有資質的單位設計且未通過安全設計診斷。
(4)外部安全防護距離不符合國家標準要求、存在重大外溢風險。
(5)涉及“兩重點一重大”裝置或儲存設施的自動化控制設施不符合《危險化學品重大危險源監督管理暫行規定》(國家安全監管總局令第40 號)等國家要求。
附錄 定義和術語
下列定義和術語適用于本導則。
1 兩重點一重大
重點監管的危險化學品,重點監管的危險化工工藝,危險化學品重大危險源。
《危險化學品企業安全風險隱患排查治理導則》
附件, 安全風險隱患排查表
1 安全基礎管理安全風險隱患排查表
(一)安全領導能力
14、排查內容
1.企業應當依法設置安全生產管理機構或配備專職安全生產管理人員;
2.專職安全生產管理人員應不少于企業員工總數的2%(不足50 人的企業至少配備1 人),要具備化工或安全管理相關專業中專以上學歷,有從事化工生產相關工作2 年以上經歷;
3.從業人員300 人以上的企業,應當按照不少于安全生產管理人員15%的比例配備注冊安全工程師;安全生產管理人員在7 人以下的,至少配備1 名注冊安全工程師。
排查依據
《安全生產法》第二十一條
《國家安全監管總局關于危險化學品企業貫徹落實國務院關于進一步加強企業安全生產工作的通知的實施意見》(安監總管三〔2010〕186 號)第一章第三條
《注冊安全工程師管理規定》(國家安全監管總局令第11 號)第六條
(三)安全教育和崗位操作技能培訓
10、(構成重大隱患的條款)排查內容
1.特種作業人員必須經專門的安全技術培訓并考核合格,取得特種作業操作證后,方可上崗作業;
2.特種作業操作證應定期復審。
排查依據
《特種作業人員安全技術培訓考核管理規定》(國家安全監管總局令第30 號)第五、二十條
補充說明:
《特種作業人員安全技術培訓考核管理規定》(國家安全監管總局令第30 號)
第五條 特種作業人員必須經專門的安全技術培訓并考核合格,取得《中華人民共和國特種作業操作證》(以下簡稱特種作業操作證)后,方可上崗作業。
附件:特種作業目錄
9危險化學品安全作業
指從事危險化工工藝過程操作及化工自動化控制儀表安裝、維修、維護的作業。
9.16化工自動化控制儀表作業
指化工自動化控制儀表系統安裝、維修、維護的作業。
(五)安全風險管理
2、排查內容
1.企業應依據以下內容制定安全風險評價準則:
(1)有關安全生產法律、法規;
(2)設計規范、技術標準;
(3)企業的安全管理標準、技術標準;
(4)企業的安全生產方針和目標等。
2.評價準則應包括事件發生可能性、嚴重性的取值標準以及安全風險等級的評定標準;
3.安全風險可接受水平低應滿足GB36894 要求。
排查依據
《關于加強化工過程安全管理的指導意見》(安監總管三〔2013〕88 號)第五條
《國家安全監管總局關于印發危險化學品從業單位安全生產標準化評審標準的通知》(安監總管三〔2011〕93 號)評審標準3.1
4、排查內容
企業安全風險辨識分析內容應重點關注如下方面:
(1)對涉及“兩重點一重大”生產、儲存裝置定期運用HAZOP方法開展安全風險辨識;
(2)對設備設施、作業活動、作業環境進行安全風險辨識;
(3)當管理機構、人員構成、生產裝置等發生重大變化或發生安全事故時,及時進行安全風險辨識分析;
(4)對控制安全風險的工程、技術、管理措施及其失效后可能引起的后果進行分析。
排查依據
《關于加強化工過程安全管理的指導意見》(安監總管三〔2013〕88 號)第六條
《危險與可操作性分析質量控制與審查導則》(T/CCSAS 001-2018)
9、排查內容
企業應建立不可接受安全風險清單,對不可接受安全風險要及時制定并落實消除、減小或控制安全風險的措施,將安全風險控制在可接受的范圍。
排查依據
《關于加強化工過程安全管理的指導意見》(安監總管三〔2013〕88 號)第七條
10、排查內容
企業應對涉及“兩重點一重大”的生產、儲存裝置每3年運用HAZOP分析法進行一次安全風險辨識分析,編制HAZOP分析報告。
排查依據
《關于加強化工過程安全管理的指導意見》(安監總管三〔2013〕88 號)第五條
《危險與可操作性分析質量控制與審查導則》(T/CCSAS 001-2018)
14、(構成重大隱患的條款)排查內容
企業應當建立健全生產安全事故隱患排查治理制度,明確各種事故隱患排查的形式、內容、頻次、組織與參加人員、事故隱患治理、上報及其他有關要求。
排查依據
《安全生產法》第三十八條
18、排查內容
1.對于重大事故隱患,企業應由主要負責人組織制定并實施治理方案;
2.企業應編制重大事故隱患報告,及時向應急管理部門和有關部門報告。
排查依據
《安全生產事故隱患排查治理暫行規定》(國家安全監管總局令第16 號)第十四、十五條
(七)作業安全管理
2、(構成重大隱患的條款)排查內容
1.特殊作業票證內容設置應符合GB 30871 要求;
2.作業票證審批程序、填寫應規范(包括作業證的時限、氣體分析、作業風險分析、安全措施、各級審批、驗收簽字、關聯作業票證辦理等)。
排查依據
《化學品生產單位特殊作業安全規范》(GB 30871-2014)
2 設計與總圖安全風險隱患排查表
(一)設計管理
1、排查內容
企業應委托具備國家規定資質等級的設計單位承擔建設項目工程設計。涉及“兩重點一重大”的大型建設項目,其設計單位資質應為工程設計綜合資質或相應工程設計化工石化醫藥、石油天然氣(海洋石油)行業、專業甲級資質。
排查依據
《關于進一步加強危險化學品建設項目安全設計管理的通知》(安監總管三〔2013〕76 號)
3、(構成重大隱患的條款)排查內容
在規劃設計工廠的選址、設備布置時,應按照GB/T37243 要求開展外部安全防護距離評估核算;外部安全防護距離應滿足根據GB 36894 確定的個人風險基準的要求。
排查依據
《危險化學品生產裝置和儲存設施外部安全防護距離》(GB/T 37243-2019 )
《危險化學品生產裝置和儲存設施風險基準》(GB 36894-2018)
5、排查內容
企業應在建設項目基礎設計階段組織開展危險與可操作性(HAZOP)分析,形成分析報告。
排查依據
《關于進一步加強危險化學品建設項目安全設計管理的通知》(安監總管三〔2013〕76 號)
《危險與可操作性分析質量控制與審查導則》(T/CCSAS 001-2018)
6、排查內容
1.新建化工裝置應設計裝備自動化控制系統,并根據工藝過程危險和風險分析結果、安全完整性等級評價(SIL)結果,設置安全儀表系統;
2.涉及重點監管危險化工工藝的大、中型新建建設項目要按照GB/T 21109 和GB 50770 等相關標準開展安全儀表系統設計。
排查依據
《關于進一步加強危險化學品建設項目安全設計管理的通知》(安監總管三〔2013〕76 號)
7、(構成重大隱患的條款)排查內容
1.涉及精細化工的建設項目,在編制可行性研究報告或項目建議書前,應按規定開展反應安全風險評估;
2.國內首次采用的化工工藝,要通過省級有關部門組織專家組進行安全論證。
排查依據
《國家安全監管總局關于加強精細化工反應安全風險評估工作的指導意見》(安監總管三〔2017〕1 號)第二、四條
《關于危險化學品企業貫徹落實<國務院關于進一步加強企業安全生產工作的通知>的實施意見》(安監總管三〔2010〕186 號)第九條
(二)總圖布局
7、(構成重大隱患的條款)排查內容
企業控制室或機柜間與裝置的防火間距應滿足GB50160 要求;控制室面向具有火災、爆炸危險性裝置一側不應有門窗、孔洞,并應滿足防火防爆要求。
排查依據
《石油化工企業設計防火標準(2018 版)》(GB 50160-2008)第5.2.16、5.2.17、5.2.18條
《石油化工控制室抗爆設計規范》(GB50779-2012)第4.1.4 條
3 試生產管理安全風險隱患排查表
9、排查內容
在系統吹掃沖洗前,應在排放口設置警戒區,拆除易被吹掃沖洗損壞的所有部件,確認吹掃沖洗流程、介質及壓力。蒸汽吹掃時,要落實防止人員燙傷的防護措施。
排查依據
《關于加強化工過程安全管理的指導意見》(安監總管三〔2013〕88 號)第十五條
4 裝置運行安全風險隱患排查表
(一)工藝風險評估
1、(構成重大隱患的條款)排查內容
新開發的危險化學品生產工藝應經小試、中試、工業化試驗再進行工業化生產。國內首次采用的化工工藝,要通過省級有關部門組織專家組進行安全論證。
排查依據
《關于危險化學品企業貫徹落實<國務院關于進一步加強企業安全生產工作的通知>的實施意見 》(安監總管三〔2010〕186 號 )
2、(構成重大隱患的條款)排查內容
精細化工企業應按照規定要求,開展反應安全風險評估。
排查依據
《關于加強精細化工反應安全風險評估工作的指導意見》(安監總管三〔2017〕1號)
3、(構成重大隱患的條款)排查內容
生產企業不得使用淘汰落后技術工藝目錄列出的工藝。
排查依據
《關于印發淘汰落后安全技術裝備目錄(2015 年第一批)的通知》(安監總科技〔2015〕75 號)
《淘汰落后安全技術工藝、設備目錄(2016年)的通知》(安監總科技〔2016〕137號)
(三)工藝技術及工藝裝置的安全控制
1、(構成重大隱患的條款)排查內容
企業涉及重點監管的危險化工工藝裝置,應裝設自動化控制系統。
排查依據
《關于開展提升危險化學品領域本質安全水平專項行動的通知》(安監總管三〔2012〕87 號)
《首批重點監管的危險化工工藝目錄的通知》(安監總管三〔2009〕116 號)
《第二批重點監管危險化工工藝目錄和調整首批重點監管危險化工工藝中部分典型工藝》(安監總管三〔2013〕3 號)
2、(構成重大隱患的條款)排查內容
1.涉及危險化工工藝的大型化工裝置應裝設緊急停車系統;
2.危險化工工藝裝置的自動化控制和緊急停車系統應正常投入使用。
排查依據
《關于開展提升危險化學品領域本質安全水平專項行動的通知》(安監總管三〔2012〕87 號)
《首批重點監管的危險化工工藝目錄的通知》(安監總管三〔2009〕116 號)
《第二批重點監管危險化工工藝目錄和調整首批重點監管危險化工工藝中部分典型工藝》(安監總管三〔2013〕3 號)
3、排查內容
危險化工工藝的安全控制應按照重點監管的危險化工工藝安全控制要求、重點監控參數及推薦的控制方案的要求,并結合HAZOP 分析結果進行設置。
排查依據
《首批重點監管的危險化工工藝目錄》(安監總管三〔2009〕116 號)
《第二批重點監管危險化工工藝目錄和調整首批重點監管危險化工工藝中部分典型工藝的通知 》的實施意見 》(安監總管三〔2013〕3 號 )
《危險與可操作性分析(HAZOP 分析)應用導則》(AQ/T3049-2013 )
《危險與可操作性分析質量控制與審查導則》(T/CCSAS 001-2018)
5、排查內容
因物料爆聚、分解造成超溫、超壓,可能引起火災、爆炸的反應設備應設報警信號和泄壓排放設施,以及自動或手動遙控的緊急切斷進料設施。
排查依據
《石油化工企業設計防火標準(2018 版》(GB 50160-2008)第5.5.13 條
(四)工藝運行管理
1、排查內容
現場表指示數值、DCS 控制值與工藝卡片控制值應保持一致。
2、排查內容
企業應建立崗位操作記錄,對運行工況定時進行監測、檢查,并及時處置工藝報警并記錄。
排查依據
《關于加強化工過程安全管理的指導意見》(安監總管三〔2013〕88 號)第九條
3、排查內容
生產過程中嚴禁出現超溫、超壓、超液位運行情況;對異常工況處置應符合操作規程要求。
排查依據
《關于加強化工過程安全管理的指導意見》(安監總管三〔2013〕88 號)第九條
4、排查內容
企業應嚴格執行聯鎖管理制度,并符合以下要求:
1.現場聯鎖裝置必須投用、完好;
2.摘除聯鎖有審批手續,有安全措施;
3.恢復聯鎖按規定程序進行。
排查依據
《關于加強化工過程安全管理的指導意見》(安監總管三〔2013〕88 號)第十六條
(六)開停車管理
3、排查內容
開車前企業應對如下重要步驟進行簽字確認:
1.進行沖洗、吹掃、氣密試驗時,要確認已制定有效的安全措施;
2.引進蒸汽、氮氣、易燃易爆介質前,要指定有經驗的專業人員進行流程確認;
3.引進物料時,要隨時監測物料流量、溫度、壓力、液位等參數變化情況,確認流程是否正確。
排查依據
《關于加強化工過程安全管理的指導意見》(安監總管三〔2013〕88 號)第十條
(七)儲運系統安全設施
4、(構成重大隱患的條款)排查內容
構成一級、二級重大危險源的危險化學品罐區應實現緊急切斷功能,并處于投用狀態。
排查依據
《危險化學品重大危險源監督管理暫行規定》(國家安全監管總局令第40 號)
5、排查內容
嚴禁正常運行的內浮頂罐浮盤落底;內浮頂罐低液位報警或聯鎖設置不得低于浮盤支撐的高度。
排查依據
《化工(危險化學品)企業安全檢查重點指導目錄》(安監總管三〔2015〕113 號 )
7、排查內容
防火堤設計應符合GB50351 要求:
1.防火堤的材質、耐火性能以及伸縮縫配置應滿足規范要求;
2.防火堤容積應滿足規范要求,并能承受所容納油品的靜壓力且不滲漏;
3.液化烴罐區防火堤內嚴禁綠化。
排查依據
《儲罐區防火堤設計規范》(GB 50351-2014)
8、排查內容
氣柜應設上、下限位報警裝置,并宜設進出管道自動聯鎖切斷裝置。
排查依據
《石油化工企業設計防火標準(2018 年版)》(GB 50160-2008)第6.3.12 條
(九)重大危險源的安全控制
1、排查內容
重大危險源應配備溫度、壓力、液位、流量等信息的不間斷采集和監測系統以及可燃氣體和有毒有害氣體泄漏檢測報警裝置,并具備信息遠傳、記錄、安全預警、信息存儲等功能。
排查依據
《危險化學品重大危險源監督管理暫行規定》(國家安全監管總局令第40 號)第十三條
2、(構成重大隱患的條款)排查內容
重大危險源的化工生產裝置應裝備滿足安全生產要求的自動化控制系統。
排查依據
《危險化學品重大危險源監督管理暫行規定》(國家安全監管總局令第40 號)第十三條
3、(構成重大隱患的條款)排查內容
一級或者二級重大危險源,設置緊急停車系統。
排查依據
《危險化學品重大危險源監督管理暫行規定》(國家安全監管總局令第40 號)第十三條
4、(構成重大隱患的條款)排查內容
對重大危險源中的毒性氣體、劇毒液體和易燃氣體等重點設施,設置緊急切斷裝置。
排查依據
《危險化學品重大危險源監督管理暫行規定》(國家安全監管總局令第40 號)第十三條
5、(構成重大隱患的條款)排查內容
對涉及毒性氣體、液化氣體、劇毒液體的一級或者二級重大危險源,應具有獨立安全儀表系統。
排查依據
《危險化學品重大危險源監督管理暫行規定》(國家安全監管總局令第40 號)第十三條
7、排查內容
重大危險源中儲存劇毒物質的場所或者設施,設置視頻監控系統。
排查依據
《危險化學品重大危險源監督管理暫行規定》(國家安全監管總局令第40 號)第十三條
(二)設備的預防性維修和檢測
7、排查內容
在涉及易燃、易爆、有毒介質設備和管線的排放口、采樣口等排放部位,應通過加裝盲板、絲堵、管帽、雙閥等措施,減少泄漏的可能性。
排查依據
《國家安全監管總局關于加強化工企業泄漏管理的指導意見》(安監總管三〔2014〕94 號)
《石油化工金屬管道布置設計規范》(SH/T3012-2011)
9、排查內容
凡在開停工、檢修過程中,可能有可燃液體泄漏、漫流的設備區周圍應設置不低于150mm 的圍堰和導液設施。
排查依據
《石油化工企業設計防火標準(2018 年版)》(GB 50160-2008)第5.2.28 條
(三)動設備的管理和運行狀況
2、排查內容
企業應監測大機組和重點動設備轉速、振動、位移、溫度、壓力等運行參數,及時評估設備運行狀況。
排查依據
《關于加強化工過程安全管理的指導意見》(安監總管三〔2013〕88 號)
(四)靜設備的管理
4、排查內容
加熱爐現場運行管理,應滿足:
1.加熱爐燃燒過程中,工藝介質流量低或中斷燃燒聯鎖、燃料氣管道壓力超高、超低低聯鎖以及引風機停運聯鎖等應正常投用;
2.加熱爐上的控制儀表以及檢測儀表應正常投用,無故障,并定期對所有氧含量分析儀進行校驗;
3.滅火蒸汽系統處于備用狀態。
(五)安全附件的管理
5、排查內容
壓力表的選型應符合相關要求,壓力范圍及檢定標記明顯。
排查依據
《固定式壓力容器安全技術監察規程》(TSG 21-2016)第9.2.1 條
6、排查內容
壓力容器用液位計應當:
1.儲存0℃以下介質的壓力容器,選用防霜液位計;
2.寒冷地區室外使用的液位計,選用夾套型或者保溫型結構的液位計;
3.用于易爆、毒性程度為極度或者高度危害介質、液化氣體壓力容器上的液位計,有防止泄漏的保護裝置。
排查依據
《固定式壓力容器安全技術監察規程》(TSG 21-2016)第9.2.2 條
6 儀表安全風險隱患排查表
(一)儀表安全管理
1、排查內容
企業應建立儀表自動化控制系統安全管理、日常維護保養等制度。
排查依據
《關于加強化工過程安全管理的指導意見》(安監總管三〔2013〕88 號)第十六條
2、排查內容
企業應建立健全儀表檢查、維護、使用、檢定等各類臺賬及儀表巡檢記錄。
排查依據
《關于加強化工過程安全管理的指導意見》(安監總管三〔2013〕88 號)第十六條
3、排查內容
儀表調試、維護及檢測記錄齊全,主要包括:
1.儀表定期校驗、回路調試記錄;
2.檢測儀表和控制系統檢維護記錄。
排查依據
《自動化儀表工程施工及質量驗收規范》(GB 50093-2013)第12.1.1、12.5.2 條
4、排查內容
新(改、擴)建裝置和大修裝置的儀表自動化控制系統投用前、長期停用的儀表自動化控制系統再次啟用前,必須進行檢查確認。
排查依據
《關于加強化工過程安全管理的指導意見》(安監總管三〔2013〕88 號)第十六條
5、排查內容
控制系統管理應滿足以下要求:
1.控制方案變更應辦理審批手續;
2.控制系統故障處理、檢修及組態修改記錄應齊全;
3.控制系統建立有應急預案。
排查依據
《工業自動化和控制系統網絡安全 集散控制系統(DCS) 第2 部分:管理要求》(GB/T33009.2-2016 )第5.11.2、5.9.2 條
6 、排查內容
企業應建立安全聯鎖保護系統停運、變更專業會簽和技術負責人審批制度。聯鎖保護系統的管理應滿足:
1.聯鎖邏輯圖、定期維修校驗記錄、臨時停用記錄等技術資料齊全;
2.應對工藝和設備聯鎖回路定期調試;
3.聯鎖保護系統(設定值、聯鎖程序、聯鎖方式、取消)變更應辦理審批手續;
4.聯鎖摘除和恢復應辦理工作票,有部門會簽和領導簽批手續;
5.摘除聯鎖保護系統應有防范措施及整改方案。
排查依據
《工業自動化和控制系統網絡安全 集散控制系統(DCS) 第2 部分:管理要求》(GB/T33009.2-2016 )
(二)控制系統設置
1、排查內容
新建化工裝置必須設置自動化控制系統,根據工藝過程危險和安全風險分析結果,確定配備安全儀表系統。
排查依據
《關于進一步加強危險化學品建設項目安全設計管理的通知》(安監總管三〔2013〕76 號)第十九條
2、排查內容
對涉及“兩重點一重大”的需要配置安全儀表系統的化工裝置應開展安全儀表功能評估。
排查依據
《國家安全監管總局關于加強化工安全儀表系統管理的指導意見》(安監總管三〔2014〕116 號)第四、十四條
3、排查內容
配備的安全儀表系統應處于投用狀態。
(三)儀表系統設置
1、(構成重大隱患的條款)排查內容
化工生產裝置自動化控制系統應設置不間斷電源,可燃有毒氣體檢測報警系統應設置不間斷電源,后備電池的供電時間不小于30min。
排查依據
《儀表供電設計規范》(HG/T 20509-2014)第7.1.3 條
2、排查內容
儀表氣源應符合下列要求:
1.采用清潔、干燥的空氣;
2.應設置備用氣源。備用氣源可采用備用壓縮機組、貯氣罐或第二氣源(也可用干燥的氮氣)。
排查依據
《儀表供氣設計規范》(HG/T 20510-2014)第3.0.1、3.0.2、3.0.3、4.4.1、4.4.2 條
《石油化工儀表供氣設計規范》( SH3020-2013)第3.0.1、4.3.1 條
3、排查內容
安裝DCS、PLC、SIS 等設備的控制室、機柜室、過程控制計算機的機房,應考慮防靜電接地。其室內的導靜電地面、活動地板、工作臺等應進行防靜電接地。
排查依據
《儀表系統接地設計規范》( HG/T20513-2014)第5.3.1 條
《石油化工儀表接地設計規范》(SH/T 3081-2003)第2.4.1 條
4、(構成重大隱患的條款)排查內容
爆炸危險場所的儀表、儀表線路的防爆等級應滿足區域的防爆要求。
排查依據
《爆炸危險環境電力裝置設計規范》(GB50058-2014)第5.2.3 條
《石油化工自動化儀表選型設計規范》(SH/T 3005-2016)第4.9 條
5、排查內容
保護管與檢測元件或現場儀表之間應采取相應的防水措施。防爆場合應采取相應防爆級別的密封措施。
排查依據
《爆炸危險環境電力裝置設計規范》(GB50058-2014)第5.4.3 條
《自動化儀表工程施工及質量驗收規范》(GB 50093-2013)第7.4.8 條
《石油化工儀表管道線路設計規范》(SH/T3019-2003)第8.4.6 條
6、排查內容
危險化學品重大危險源配備的溫度、壓力、液位、流量、組份等信息應不間斷采集和監測,并具備信息遠傳、連續記錄、事故預警、信息存儲等功能;記錄的電子數據的保存時間不少于30 天。
排查依據
《危險化學品重大危險源監督管理暫行規定》(國家安全監管總局令第40 號)第十三條
7、排查內容
危險化學品重大危險源罐區安全監控裝備應符合要求:
1.攝像頭的設置個數和位置,應根據罐區現場的實際情況實現全面覆蓋;
2.攝像頭的安裝高度應確保可以有效監控到儲罐頂部;
3 有防爆要求的應使用防爆攝像機或采取防爆措施。
排查依據
《危險化學品重大危險源罐區現場安全監控裝備設置規范》(AQ 3036-2010)第10.1條
8、排查內容
緊急停車按鈕應有可靠防護措施。
排查依據
《信號報警及聯鎖系統設計規范》(HG/T20511-2014)第4.11.4 條
9、排查內容
罐區儲罐高高、低低液位報警信號的液位測量儀表應采用單獨的液位連續測量儀表或液位開關,報警信號應傳送至自動控制系統。
排查依據
《石油化工儲運系統罐區設計規范》(SH/T3007-2014 )第5.4.5 條
(四)氣體檢測報警管理
1、(構成重大隱患的條款)排查內容
可燃氣體和有毒氣體檢測報警器的設置與報警值的設置應滿足GB 50493 要求。
排查依據
《石油化工可燃氣體和有毒氣體檢測報警設計規范》(GB 50493-2009)
2、排查內容
可燃氣體和有毒氣體檢測報警系統應獨立于基本過程控制系統。
排查依據
《國家安全監管總局關于加強化工安全儀表系統管理的指導意見》(安監總管三〔2014〕116 號)第十一條
3、排查內容
可燃氣體、有毒氣體檢測報警器管理應滿足以下要求:
1.繪制可燃、有毒氣體檢測報警器檢測點布置圖;
2.可燃、有毒氣體檢測報警器按規定周期進行檢定或校準,周期一般不超過一年。
4、排查內容
可燃、有毒氣體檢測報警信號應發送至有操作人員常駐的控制室、現場操作室進行報警,并有報警與處警記錄,對報警原因進行分析。
排查依據
《石油化工可燃氣體和有毒氣體檢測報警設計規范》(GB 50493-2009)第3.0.4 條
《國家安全監管總局關于加強化工企業泄漏管理的指導意見》(安監總管三〔2014〕94 號)第十九條
5、排查內容
可燃、有毒氣體檢測報警器應完好并處于正常投用狀態。
排查依據
《安全生產法》第三十三條
7 電氣安全風險隱患排查表
1、排查內容
(二)供配電系統設置及電氣設備設施
1、(構成重大隱患的條款)排查內容
2.一級負荷中特別重要的負荷供電,尚應增設應急電源,并嚴禁將其他負荷接入應急供電系統;設備的供電電源的切換時間,應滿足設備允許中斷供電的要求;
排查依據
《供配電系統設計規范》(GB 50052-2009)第3.0.1 條
3、排查內容
電氣設備的安全性能,應滿足以下要求:
1.設備的金屬外殼應采取防漏電保護接地;
2.接地線不得搭接或串接,接線規范、接觸可靠;
3.明設的應沿管道或設備外殼敷設,暗設的在接線處外部應有接地標志;
4.接地線接線間不得涂漆或加絕緣墊。
排查依據
《電氣裝置安裝工程接地裝置施工及驗收規范》(GB 50169-2016)第3.0.4、4.2.9 條
4、排查內容
電纜必須有阻燃措施;電纜橋架符合相關設計規范。
排查依據
《電力工程電纜設計規范》( GB50217-2018)第6.2.7 條
(三)防雷、防靜電設施
1、排查內容
工藝裝置內露天布置的塔、容器等,當容器頂板厚度等于或大于4mm 時,可不設避雷針、線保護,但必須設防雷接地。
排查依據
《石油化工企業設計防火標準(2018 年版)》(GB 50160-2008)第9.2.2 條
2、排查內容
可燃氣體、液化烴、可燃液體的鋼罐,必須設防雷接地,并應符合下列規定:
1.甲B、乙類可燃液體地上固定頂罐,當頂板厚度小于4mm 時應設避雷針、線,其保護范圍應包括整個儲罐;
2.丙類液體儲罐,可不設避雷針、線,但必須設防感應雷接地;
3.浮頂罐(含內浮頂罐)可不設避雷針、線,但應將浮頂與罐體用兩根截面不小于25mm2 的軟銅線作電氣連接;
4.壓力儲罐不設避雷針、線,但應作接地。
排查依據
《石油化工企業設計防火標準(2018 年版)》(GB 50160-2008)第9.2.3 條
6、排查內容
重點防火、防爆作業區的入口處,應設計人體導除靜電裝置。
排查依據
《化工企業安全衛生設計規范》( HG20571-2014 )第4.2.10 條
7、排查內容
儲罐罐頂平臺上取樣口(量油口)兩側1.5 米之外,應各設一組消除人體靜電設施,設施應與罐體做電氣連接并接地,取樣繩索、檢尺等工具應與設施連接。
排查依據
《石油化工靜電接地設計規范》(SHT3097-2017)第5.2.2 條
8、排查內容
在爆炸危險區域內設計有靜電接地要求的管道,當每對法蘭或其他接頭間電阻值超過0.03Ω 時,應設導線跨接。
排查依據
《工業金屬管道工程施工規范》(GB50235-2010)第7.13.1 條
(四)現場安全
1、排查內容
電纜必須有阻燃措施。電纜溝必須有防竄油汽、防腐蝕、防水措施;電纜隧道必須有防火、防沉陷措施。
8 應急與消防安全風險隱患排查表
(二)應急器材和設施
4、排查內容
企業存在可燃、有毒氣體的區域應配備便攜式檢測儀,并定期檢定。
排查依據
《危險化學品單位應急救援物資配備標準》(GB 30077-2013)第9.3 條
《可燃氣體檢測報警器》(JJG 693-2011)第5.5 條
5、排查內容
石油化工企業的生產區、公用及輔助生產設施、全廠性重要設施和區域性重要設施的火災危險場所應設置火災自動報警系統和火災電話報警。
排查依據
《石油化工企業設計防火標準(2018 年版)》(GB 50160-2008)第8.12.1 條
7、排查內容
消防水泵房及其配電室的消防應急照明采用蓄電池作備用電源時,其連續供電時間不應少于3h。
排查依據
《石油化工企業設計防火標準(2018 年版)》(GB 50160-2008)第9.1.2 條
(三)消防安全
11、排查內容
全壓力式、半冷凍式液化烴球罐固定式消防冷卻水管道的控制閥應處于罐區防火堤外,距被保護罐壁不宜小于15m。可燃液體立式儲罐的固定消防冷卻水系統(水噴淋或水噴霧系統)的控制閥門應設在防火堤外,且距被保護罐壁不宜小于15m。
排查依據
《石油化工企業設計防火標準(2018 年版)》(GB 50160-2008)第8.10.10、8.4.5 條
9 重點危險化學品特殊管控安全風險隱患排查表
6、排查內容
液化烴儲罐底部的液化烴出入口管道應設可遠程操作的緊急切斷閥,緊急切斷閥的執行機構應有故障安全保障的措施。
排查依據
《石油化工儲運系統罐區設計規范》(SH/T3007-2014)第6.4.1 條
8、排查內容
液化天然氣儲罐應配備2套獨立的液位計,液位計應能適應液體密度的變化。
排查依據
《液化天然氣(LNG)生產、儲存和裝運》(GB/T 20368-2012)第10.1.1.1 條
10、排查內容
液化烴球形儲罐本體應設就地和遠傳溫度計,并應保證在低液位時能測液相的溫度而且便于觀測和維護。
排查依據
《石油化工液化烴球形儲罐設計規范》(SH3136-2003)第5.1 條
11、排查內容
液化烴球形儲罐應設就地和遠傳的液位計,但不宜選用玻璃板液位計。
排查依據
《石油化工液化烴球形儲罐設計規范》(SH3136-2003)第5.3.1 條
12、排查內容
液化石油氣球罐上的閥門的設計壓力不應小于2.5MPa。
排查依據
《石油化工液化烴球形儲罐設計規范》(SH3136-2003)第6 條
15、排查內容
全壓力式液化烴儲罐宜采用有防凍措施的二次脫水系統,儲罐根部宜設緊急切斷閥。
排查依據
《石油化工企業設計防火標準(2018 版)》(GB 50160-2008)第6.3.14 條
17、排查內容
液化烴充裝車過程中,應設專人在車輛緊急切斷裝置處值守,確保可隨時處置緊急情況。
(二)液氨
5、排查內容
液氨儲罐進出口管線應設置雙切斷閥,其中一只出口切斷閥為緊急切斷閥。
排查依據
《合成氨生產企業安全標準化實施指南》AQ/T 3017-2008)第5.5.4.6 條
(三)液氯
3、排查內容
工作場所應設置事故通風裝置及與通風系統相聯鎖的泄漏報警裝置;通風裝置的控制分別設置在室內、室外便于操作地點;排風口設置盡可能避免影響作業人員。
排查依據
《氯職業危害防護導則》(GBZ/T 275-2016)第6.1.5 條
4、排查內容
液氯氣化器、貯槽(罐)等設施設備的壓力表、液位計、溫度計,應裝有帶遠傳報警的安全裝置。
排查依據
《氯氣安全規程》(GB 11948-2008)第3.11D條
8、排查內容
使用氯氣作為生產原料時,宜使用盤管式或套管式氣化器的液氯全氣化工藝,液氯氣化溫度不得低于71℃,建議熱水控制溫度75~85℃;采用特種氣化器(蒸汽加熱),溫度不得大于121℃,氣化壓力與進料調節閥聯鎖控制,氣化溫度與蒸汽調節閥聯鎖控制。
排查依據
《關于氯氣安全設施和應急技術的指導意見》(中國氯堿工業協會〔2010〕協字第070號)第三條
12、排查內容
地上液氯貯槽(罐)區地面應低于周圍地面0.3~0.5m或在貯存區周邊設0.3~0.5m 的事故圍堰。
排查依據
《氯氣安全規程》(GB 11948-2008)第7.2.4條
13、排查內容
液氯貯槽(罐)液面計應采用兩種不同方式,采用現場顯示和遠傳液位顯示儀表各一套,遠傳儀表宜采用罐外測量的外測式液位計。
排查依據
《關于氯氣安全設施和應急技術的指導意見》(中國氯堿工業協會〔2010〕協字第070號)第一條
14、排查內容
液氯貯槽(罐)的就地液位指示,不得選用玻璃板液位計。
排查依據
《自動化儀表選型設計規范》( HG/T20507-2014)第7.2.2 條
20、排查內容
液氯倉庫必須設置事故氯吸收(塔)裝置,具備24小時連續運行的能力,并與電解故障停車、動力電失電聯鎖控制;至少滿足緊急情況下處理能力,吸收液循環槽具備切換、備用和配液的條件,保證熱備狀態或有效運行。
排查依據
《關于氯氣安全設施和應急技術的指導意見》(中國氯堿工業協會〔2010〕協字第070號)第四條
(五)光氣
5、排查內容
含光氣物料管道應采用無縫鋼管,管道連接應采用對焊焊接,嚴禁采用絲扣連接。
排查依據
《光氣及光氣化產品生產安全規程》(GB19041-2003)第6.2 條
6、排查內容
光氣及光氣化裝置應設置隔離操作室。
排查依據
《光氣及光氣化產品生產安全規程》(GB19041-2003)第7.2 條
7、排查內容
光氣及光氣化產品生產裝置的供電應設有雙電源,緊急停車系統、尾氣破壞處理系統應配備柴油發電機,要求在30s 內自動啟動供電。
排查依據
《光氣及光氣化產品生產安全規程》(GB19041-2003)第10.1 條
8、排查內容
光氣及光氣化產品生產裝置應設置化工安全儀表系統(SIS)。
(六)氯乙烯
6、排查內容
氯乙烯氣柜進出總管應設置壓力和柜位檢測,DCS指示、報警、聯鎖,記錄保持時間不低于3 個月。氣柜壓力和柜位聯鎖應設置高高或低低的三選二聯鎖動作。
11、排查內容
氯乙烯氣柜的進出口管道應設遠程緊急切斷閥。
(七)硝化工藝
1、排查內容
硝化控制室應設置在遠離硝化車間的安全地帶,在采用遠程DCS 控制基礎上、采用遠程視頻監管、在線檢測、設備故障自診斷等技術措施,減少現場常駐操作人員數量和工作時間。
2、排查內容
硝化工藝應實現自動化控制系統,并設置安全聯鎖;結合各種異常工況,計算工藝控制要求大允許流量和時段累積量,設置固定的不可超調的限流措施。
3、排查內容
半間歇、連續化硝化工藝等要嚴控加料配比的可靠性;設置滴加物料管道視鏡(設置遠程視頻監控)。
4、排查內容
應嚴格控制硝化反應溫度上下限,禁止溫度超限特別是超下限狀態,避免物料累積、反應滯后引發的過程失控;硝化釜中設置雙溫度計,確保溫度測量的可靠性。
6、排查內容
在發生事故會有相互影響的硝化釜與硝化釜、硝化物貯槽等設施之間,應增設應急自動隔斷閥(隔離措施),防止事故擴大化。
摘選:《危險化學品安全專項整治三年行動實施方案》
二、主要任務
(二)提高危險化學品企業本質安全水平。
1.全面排查管控危險化學品生產儲存企業外部安全防護距離。督促危險化學品生產儲存企業按照《危險化學品生產裝置和儲存設施風險基準》(GB 36894-2018)和《危險化學品生產裝置和儲存設施外部安全防護距離確定方法》(GB/T 37243-2019)確定外部安全防護距離。不符合外部安全防護距離要求的涉及“兩重點一重大”的生產裝置和儲存設施,經評估具備就地整改條件的,整改工作必須在2020年底前完成,未完成整改的一律停止使用;需要實施搬遷的,在采取盡可能消減安全風險措施的基礎上于2022年底前完成;
2.進一步提升危險化學品企業自動化控制水平。繼續推進“兩重點一重大”生產裝置、儲存設施可燃氣體和有毒氣體泄漏檢測報警裝置、緊急切斷裝置、自動化控制系統的建設完善,2020年底前涉及“兩重點一重大”的生產裝置、儲存設施的上述系統裝備和使用率必須達到100%,未實現或未投用的,一律停產整改。推動涉及重點監管危險化工工藝的生產裝置實現全流程自動化控制,2022年底前所有涉及硝化、氯化、氟化、重氮化、過氧化工藝裝置的上下游配套裝置必須實現自動化控制,大限度減少作業場所人數。涉及爆炸危險性化學品的生產裝置控制室、交接班室不得布置在裝置區內,已建成投用的必須于2020年底前完成整改;涉及甲乙類火災危險性的生產裝置控制室、交接班室原則上不得布置在裝置區內,確需布置的,應按照《石油化工控制室抗爆設計規范》(GB50779-2012),在2020年底前完成抗爆設計、建設和加固。具有甲乙類火災危險性、粉塵爆炸危險性、中毒危險性的廠房(含裝置或車間)和倉庫內的辦公室、休息室、外操室、巡檢室,2020年8月前必須予以拆除。
3.深化精細化工企業反應安全風險評估。凡列入精細化工反應安全風險評估范圍但未開展評估的精細化工生產裝置,一律不得生產。現有涉及硝化、氯化、氟化、重氮化、過氧化工藝的精細化工生產裝置必須于2021年底前完成有關產品生產工藝全流程的反應安全風險評估,同時按照《關于加強精細化工反應安全風險評估工作的指導意見》(安監總管三〔2017〕1號)的有關方法對相關原料、中間產品、產品及副產物進行熱穩定性測試和蒸餾、干燥、儲存等單元操作的風險評估。強化精細化工反應安全風險評估結果運用,已開展反應安全風險評估的企業要根據反應危險度等級和評估建議設置相應的安全設施,補充完善安全管控措施,及時審查和修訂安全操作規程,確保設備設施滿足工藝安全要求,2022年底前未落實有關評估建議的精細化工生產裝置一律停產整頓。
《中共中央國務院關于推進安全生產領域改革發展的意見》
《中共中央辦公廳國務院辦公廳關于全面加強危險化學品安全生產工作的意見》
《企業安全生產標準化基本規范》(GB/T33000-2016)
《危險化學品目錄》
《化工園區安全風險排查治理導則(試行)》(應急〔2019〕78號)
《危險化學品企業安全風險隱患排查治理導則》(應急〔2019〕78號)
《危險化學品生產裝置和儲存設施風險基準》(GB36894-2018)
《危險化學品生產裝置和儲存設施外部安全防護距離確定方法》(GB/T37243-2019)
《石油化工控制室抗爆設計規范》(GB50779-2012)
《關于加強精細化工反應安全風險評估工作的指導意見》(安監總管三〔2017〕1號)
《安全生產法》
《注冊安全工程師管理規定》(國家安全監管總局令第11 號)
《國家安全監管總局關于危險化學品企業貫徹落實國務院關于進一步加強企業安全生產工作的通知的實施意見》(安監總管三〔2010〕186 號)
《特種作業人員安全技術培訓考核管理規定》(國家安全監管總局令第30 號)
《關于加強化工過程安全管理的指導意見》(安監總管三〔2013〕88 號)
《國家安全監管總局關于印發危險化學品從業單位安全生產標準化評審標準的通知》(安監總管三〔2011〕93 號)
《安全生產事故隱患排查治理暫行規定》(國家安全監管總局令第16 號)
《關于進一步加強危險化學品建設項目安全設計管理的通知》(安監總管三〔2013〕76 號)
《關于加強精細化工反應安全風險評估工作的指導意見》(安監總管三〔2017〕1號)
《化工和危險化學品生產經營單位重大生產安全事故隱患判定標準(試行)》(安監總管三〔2017〕121號)
《關于印發淘汰落后安全技術裝備目錄(2015 年第一批)的通知》(安監總科技〔2015〕75 號)
《淘汰落后安全技術工藝、設備目錄(2016年)的通知》(安監總科技〔2016〕137號)
《關于開展提升危險化學品領域本質安全水平專項行動的通知》(安監總管三〔2012〕87 號)
《首批重點監管的危險化工工藝目錄的通知》(安監總管三〔2009〕116 號)
《第二批重點監管危險化工工藝目錄和調整首批重點監管危險化工工藝中部分典型工藝》(安監總管三〔2013〕3 號)
《危險化學品重大危險源監督管理暫行規定》(國家安全監管總局令第40 號)
《化工(危險化學品)企業安全檢查重點指導目錄》(安監總管三〔2015〕113 號 )
《國家安全監管總局關于加強化工企業泄漏管理的指導意見》(安監總管三〔2014〕94 號)
《國家安全監管總局關于加強化工安全儀表系統管理的指導意見》(安監總管三〔2014〕116 號)
《合成氨生產企業安全標準化實施指南》AQ/T 3017-2008)
《危險化學品重大危險源罐區現場安全監控裝備設置規范》(AQ 3036-2010)
《危險與可操作性分析(HAZOP 分析)應用導則》(AQ/T3049-2013 )
《固定式壓力容器安全技術監察規程》(TSG 21-2016)
《化學品生產單位特殊作業安全規范》(GB 30871-2014)
《危險化學品生產裝置和儲存設施外部安全防護距離》(GB/T 37243-2019 )
《危險化學品生產裝置和儲存設施風險基準》(GB 36894-2018)
《危險化學品生產裝置和儲存設施外部安全防護距離確定方法》(GB/T37243-2019)
《石油化工企業設計防火標準(2018 版)》(GB 50160-2008)
《石油化工控制室抗爆設計規范》(GB50779-2012)
《儲罐區防火堤設計規范》(GB 50351-2014)
《自動化儀表工程施工及質量驗收規范》(GB 50093-2013)
《工業自動化和控制系統網絡安全 集散控制系統(DCS) 第2 部分:管理要求》(GB/T33009.2-2016 )
《爆炸危險環境電力裝置設計規范》(GB50058-2014)
《石油化工可燃氣體和有毒氣體檢測報警設計規范》(GB 50493-2009)
《供配電系統設計規范》(GB 50052-2009)
《電氣裝置安裝工程接地裝置施工及驗收規范》(GB 50169-2016)
《電力工程電纜設計規范》( GB50217-2018)
《工業金屬管道工程施工規范》(GB50235-2010)
《危險化學品單位應急救援物資配備標準》(GB 30077-2013)
《液化天然氣(LNG)生產、儲存和裝運》(GB/T 20368-2012)
《氯職業危害防護導則》(GBZ/T 275-2016)
《氯氣安全規程》(GB 11948-2008)
《氯氣安全規程》(GB 11948-2008)
《光氣及光氣化產品生產安全規程》(GB19041-2003)
《危險與可操作性分析質量控制與審查導則》(T/CCSAS 001-2018)
《石油化工自動化儀表選型設計規范》(SH/T 3005-2016)
《石油化工儲運系統罐區設計規范》(SH/T3007-2014 )
《石油化工金屬管道布置設計規范》(SH/T3012-2011)
《石油化工儀表管道線路設計規范》(SH/T3019-2003)
《石油化工儀表供氣設計規范》( SH3020-2013)
《石油化工儀表接地設計規范》(SH/T 3081-2003)
《石油化工靜電接地設計規范》(SHT3097-2017)
《石油化工液化烴球形儲罐設計規范》(SH3136-2003)
《自動化儀表選型設計規范》( HG/T20507-2014)
《儀表供電設計規范》(HG/T 20509-2014)
《儀表供氣設計規范》(HG/T 20510-2014)
《信號報警及聯鎖系統設計規范》(HG/T20511-2014)
《儀表系統接地設計規范》( HG/T20513-2014)
《化工企業安全衛生設計規范》( HG20571-2014 )
《可燃氣體檢測報警器》(JJG 693-2011)
《關于氯氣安全設施和應急技術的指導意見》(中國氯堿工業協會〔2010〕協字第070號)
《石油化工儀表接地設計規范》(SH/T 3081-2019)
《石油化工可燃氣體和有毒氣體檢測報警設計標準》(GB/T 50493-2019)






QQ咨詢
